从一次爆炸事故谈谈实验室安全
作者:来源:时间:2021-12-15
化学工业作为近代的新兴领域,为社会的发展带来不竭动力以及对我们的衣食住行带来极大的便利。在早些年,人们对于化学的认知可能更多地来源于生活,而随着化学工业的飞速发展,构建现代化学的理论体系愈来愈趋于完备和系统化。值得注意的是,在研究人员开发新材料的过程中,如果化学反应条件控制不当,则可能会威胁到研究人员的生命财产安全。在涉及化学反应过程中发生的事故通常分为这三类:爆炸、中毒以及火灾。这些事故通常会对实验人员造成伤亡、财产损失以及对周围环境的污染,有时甚至会造成更为严重的次生灾害。与其他类型的事故相比,爆炸往往发生得更快、更强烈、更具破坏性。由于应急反应滞后,在爆炸事故发生后,造成的损害及影响可能会进一步发展。在化学实验室中,爆炸通常发生在反应过程中,并且在高温、高压的封闭系统中更为常见。【警钟长鸣 实验室爆炸事故(部分)】 2009年7月3日中午12时30分,一氧化碳中毒事件:浙大化学系教师莫某某、浙江某高校教师徐某某,于事发当日在化学系催化研究所做实验过程中,存在误将本应接入307实验室的一氧化碳气体接至通向211室输气管的行为,博士研究生于某昏厥倒在催化研究所211室并死亡。 川大化工实验室发生爆炸,3名学生受伤。2011年4月14日15时45分,四川大学江安校区第一实验楼B座103化工学院一实验室,3名学生在做常压流化床包衣实验,实验物料意外爆炸,导致3名学生受伤。 南京理工大学废弃实验室爆炸致1死3伤。2013年4月30日上午9点左右,南京理工大学校内一废弃实验室拆迁施工发生意外爆炸,现场施工的4名工人2名重伤,2名轻伤,其中1名重伤人员经医院抢救无效死亡。 清华大学实验室爆炸事件。2015年12月18日上午10时10分左右,清华大学化学系何添楼二层的一间实验室发生爆炸火灾事故,一名正在做实验的孟姓博士后当场死亡(突发!清华大学一实验室发生爆炸 事故造成一名博后死亡)。 
2016年5月23日,上海青浦区发生一起工厂爆炸事故致华东理工一研究生及两名工人死亡。(【悲剧】华东理工研究生在导师工厂爆炸中遇难)。 
2016年9月21日上午10点30分左右,位于上海松江大学园区的东华大学化学化工与生物工程学院一实验室发生爆炸,两名学生受重伤(关注 | 东华大学实验室爆炸受伤学生诉学校 双方同意调解)。 
北京交通大学实验室爆炸事故。2018年12月26日15时,北京交通大学市政环境工程系学生在学校东校区2号楼环境工程实验室,进行垃圾渗滤液污水处理科研实验期间,实验现场发生爆炸,事故造成3名参与实验的学生死亡(北交实验室爆炸事故调查报告公布:操作不规范,亲人两行泪)。

【研究成果】 实验室安全建设成为近些年人们所关注的热点问题,也是教育主管部门严抓的重点问题。一些关于实验室安全建设的研究也相继开展。近日,中科院福建物质研究所李志华与王维课题组在化学反应爆炸机理方面取得进展。作者以锌(II)-2,9,16,23-四羰基酞菁的合成为例子,采用热分析法研究化学反应过程中爆炸的热稳定性,分析了化学反应过程中发生爆炸的原因,并提出了加强化学实验室防爆工作的技术要领和管理措施。该工作以标题“Lesson Learned from an Explosion during Chemical Synthesis: Discussion and Preventative Strategies” 发表于ACS系列新刊ACS Chemical Health & Safety上。文章的第一作者是中科院福建物质研究所李志华教授,中科院福建物质研究所李志华教授和王维教授为本文的通讯作者。 
【事故细节】 
图1 锌(II)-2,9,16,23-四羰基酞菁的合成过程。 
图2 锌(II)-2,9,16,23-四羰基酞菁的合成装置。 作者以合成锌(II)-2,9,16,23-四羰基酞菁的实验为事例,讲述了事故的起因。以2,9,16,23-四甲氨基酞菁锌(中间体)为原料,在钼酸铵、醋酸锌、尿素(大大过量)和氯化铵的存在下,在200 ℃下合成了Zn(II)-2,9,16,23-四甲氧基酞菁。得到中间体后,混合物在碱性条件下进一步水解,得到目标产物Zn(II)-2,9,16,23-四羰基酞菁。通常,2,9,16,23-四甲氨基酞菁锌中间体的合成在油浴中进行,使用500 mL三颈圆底烧瓶,该烧瓶配备有循环水作为冷却剂的阿林冷凝器。事故当天上午9:00,一名研究人员进行了两个相同的实验,冷却水依次流过两个阿林冷凝器。在圆底烧瓶中加入48.0 g偏苯三酸酐、23.0 g乙酸锌、2.0 g四水钼酸铵、2.0 g氯化铵和90.0 g尿素。并将烧瓶置于油浴中,在30分钟内将反应温度缓慢升高至200°C,此时,尿素和偏苯三酸酐熔化并溶解了所有其他化学品,这表明反应按设计开始。上午11点左右,与城市供水直接相连的烧瓶发生爆炸,炸毁了通风柜的窗扇。万幸的是,没有人员受伤。 【事故原因分析】 
图3 爆炸事故现场照片。 通过现场勘查,发现反应装置的温控系统及磁力搅拌系统运行正常。可以肯定的是,反应瓶中压力过大是导致此次爆炸事故的直接原因。另外,值得注意的是,作者在此次实验中将反应温度由原本170℃升高至200℃下进行,并且使用大量的偏苯三酸酐代替原有的偏苯三酸酐和邻苯二甲酸酐,扩大了反应的总摩尔数。总体来讲,此次爆炸事故主要源于反应温度的升高以及扩大反应的总摩尔数造成的。 
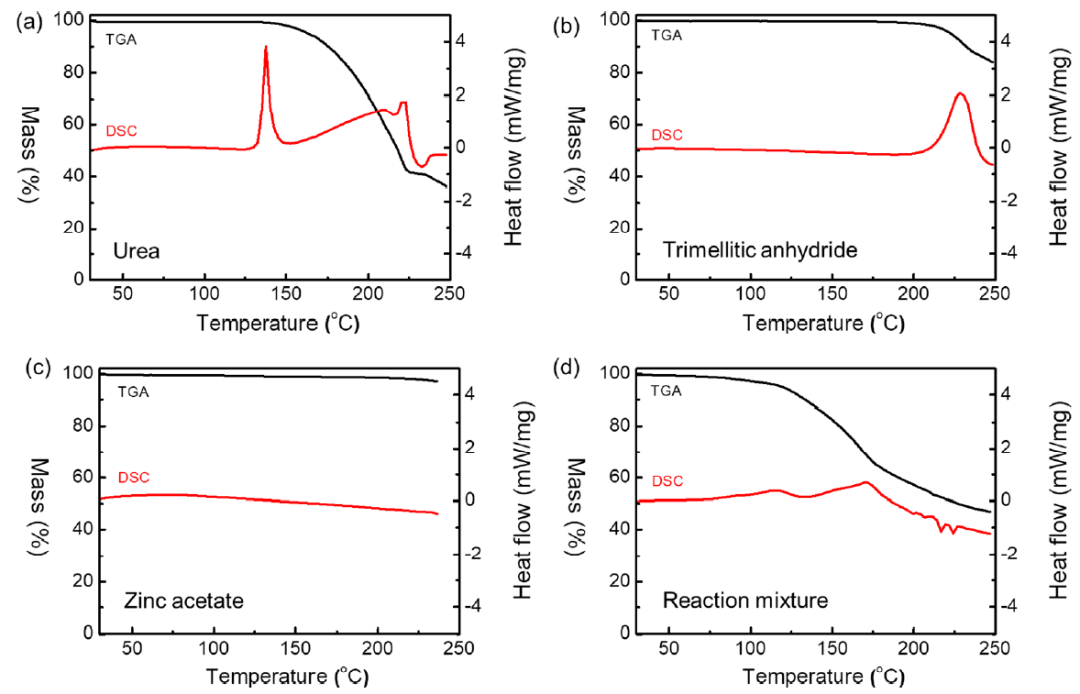
图4 热分析技术模拟反应过程。 为了进一步探明此次爆炸前,反应体系中发生的变化,作者采用热分析技术来模拟反应发生的过程。发现,在封闭系统中进行相同反应时,反应的热行为似乎与开放体系下有所不同。DSC结果表明,在110°C附近发生放热过程,随后,在高达200°C的温度范围内,持续吸热过程占主导地位。因为尿素分解生成的气体分子较少,与2,9,16,23-四甲氨基酞菁锌相比,生成的小分子气体有可能阻止平衡向正向进行。红外光谱结果表明,混合物在120 ℃下反应1h后,反应混合物在化学性质上保持相似(具有类似的红外吸收)。在110 ℃附近的放热过程可能是偏苯三酸酐水解形成偏苯三甲酸,引发反应。相反,混合物在200 ℃下反应后,可以从红外光谱中证实酞菁环的形成,同时也证实混合物在200 ℃反应后形成了2,9,16,23-四甲氨基酞菁锌。 值得指出的是,读者可能不明白为什么要在反应装置中加入阿林冷凝器。这主要是因为反应回流溶剂少,反应系统中加入阿林冷凝器可能主要用于收集尿素/缩二脲蒸汽,并防止通风柜受到尿素污染。因此,问题的关键在于,固体在冷凝管中堵塞并将反应系统变为封闭系统。同时,实验者在之前的反应之后清洗器皿时,在阿林冷凝器中观察到一些白色固体冷凝物。但不幸的是,这一现象并没有引起实验者的注意,尽管他们意识到凝汽器管堵塞会产生极高的爆炸风险。 
图5 封闭反应系统中存在的四个诱发爆炸的因素。 从我们熟知的PV=nRT理想气体定律中不难看出,在封闭系统中,压力与温度和物质的量成正比,而与体积成反比。因此,增加封闭系统中的气体量、升高温度或减小系统体积都会导致体系的压力增大,从而可能导致爆炸。 容器损坏:容器损坏将导致气体释放失控,导致爆炸。如果高压容器壁受到破坏(如冲击、腐蚀、火灾等),其最大承压能力可能会显著降低。事实上,由于操作或储存不当而导致的压缩气瓶爆炸,已经多次被报道。 系统体积的减小:当温度保持不变时,气体的压力与其体积成反比。对于一个有气体输入或开放的系统,当气体出口堵塞时,系统变成一个压力增大的封闭系统。在这种情况下,气体体积从无穷大的值(开放系统)变为固定值。持续供气时可能引发爆炸。在上述事故中,尿素蒸汽和副产物冷凝堵塞冷凝管,形成一个封闭系统,导致爆炸。 温度升高:升温对封闭体系反应主要有两个影响。首先,根据理想气体定律,一定量气体的压力与其绝对温度成正比增加。如果反应过热(例如,由温度控制器故障引起),反应系统的压力将急剧增加,并可能超过容器的设计极限,这通常会导致强烈的爆炸。第二,温度升高会使大多数反应的反应速率进行得更快。如果反应是放热的,所产生的热量将进一步加快反应速度,可能导致爆炸。另一方面,如果反应系统或恒压容器从环境中获得额外的能量(例如来自火、辐射或阳光照射),则系统温度也会随着压力的同时升高而升高。在这种情况下,虽然能量输入可能不足以加速反应,但仍可能发生爆炸。 气体的生成:当封闭系统中气体含量超过设计值时,反应容器可能发生爆炸。产生大量气体的常见原因主要包括:温度失控引起的气体产生、反应物混合不足、反应物剧烈分解、外部气体突然引入等。同时,众所周知,爆炸性化学物质,如硝基化合物和含叠氮化物的化合物的分解,可能会导致大量的气体产生。 【降低爆炸事故的措施】 在实际的化学反应中,通常是多个不利因素导致爆炸事故。因此,在封闭系统中预防爆炸应综合考虑各种因素。在进行化学实验时,可以采取各种技术和管理措施来有效地防止爆炸。首先,在实验方案实施前进行安全设计是关键步骤。其次,在实验过程中,应采取防爆措施(如设置防爆措施、防止温度失控、监测压力等)。最后,在不进行实验时,应按规范对设备进行定期检查和维护。 化学实验的安全设计:化学实验的设计一般应符合以下原则: (1)有明确的研究目的; (2)符合化学原理; (3)在可行的条件下进行; (4)制定安全措施; (5)保持环境的可持续性。 对于特定类型的化学实验,如课堂演示或公共科学演示,除了满足上述原则外,还有进一步的要求。 温度控制和保护装置:众所周知,在化学实验室中,可编程温度控制器通常用于控制反应系统的温度。一般来说,温度控制可以通过标准控制设备来实现,标准控制设备通常包括温度传感模块、温度显示模块和加热模块。一旦在温度控制器上发现异常行为,应采取连锁控制措施(如切断反应物进料、改变加热条件、改变搅拌速度等),以避免过热。需要强调的是,对于那些温度敏感的反应,在一个特定的操作过程中,可以使用多个设备来监测反应温度。 压力监测和保护装置:在密闭空间进行实验时,压力监测至关重要。应将泄压阀、气球或缓冲瓶集成到反应系统中,以便在压力超过设计极限时进行泄压。此外,应特别将薄弱环节设计成释放压力的反应系统,特别是潜在的爆炸性反应。当产生异常高压时,通过薄弱点泄压可以有效地防止爆炸事故的发生。 防爆措施:具有明显爆炸危险的反应,如易爆炸或爆炸时表现出较大威力的反应,必须在专门设计的防爆实验室内进行。在防爆实验室,必要时应提供防爆通风机或其他隔室,如防爆挡板或远程监控设备(用于监测反应压力和温度)。除此之外,特别是实验室仪器设备的检查、维护至关重要。
上一页:
下一页: 实验室安全八防,请牢记 !

沈阳城市学院官方微博
沈阳城市学院微信平台